devicetools

This modules implements the fundamental features for structuring HydPy projects.

Module devicetools provides two Device subclasses, Node and Element. In this documentation, “node” stands for an object of class Node, “element” for an object of class Element, and “device” for either of them (you cannot initialise objects of class Device directly). On the other hand, the term “nodes”, for example, does not necessarily mean an object of class Nodes but any other group of Node objects as well.

Each element handles a single Model object and represents, for example, a subbasin or a channel segment. The purpose of a node is to connect different elements and, for example, to pass the discharge calculated for a subbasin outlet (from a first element) to the top of a channel segment (to second element). Class Node and Element come with specialised container classes (Nodes and Elements). The names of individual nodes and elements serve as identity values, so duplicate names are not permitted.

Note that module devicetools implements a registry mechanism both for nodes and elements, preventing instantiating an object with an already assigned name. This mechanism allows to address the same node or element in different network files (see module selectiontools).

Let us take class Node as an example. One can call its constructor with the same name multiple times, but it returns already existing nodes when available:

>>> from hydpy import Node
>>> node1 = Node("test1")
>>> node2a = Node("test2")
>>> node2b = Node("test2")
>>> node1 is node2a
False
>>> node2a is node2b
True

To get information on all currently registered nodes, call method extract_new():

>>> Node.extract_new()
Nodes("test1", "test2")

Method extract_new() returns only those nodes prepared or recovered after its last invocation:

>>> node1 = Node("test1")
>>> node3a = Node("test3")
>>> Node.extract_new()
Nodes("test1", "test3")

For a complete list of all available nodes, use the method query_all():

>>> Node.query_all()
Nodes("test1", "test2", "test3")

When working interactively in the Python interpreter, it might sometimes be helpful to clear the registry entirely. However, Do this with care because defining nodes with already assigned names might result in surprises due to using their names for identification:

>>> nodes = Node.query_all()
>>> Node.clear_all()
>>> Node.query_all()
Nodes()
>>> node3b = Node("test3")
>>> node3b in nodes
True
>>> nodes.test3.name == node3b.name
True
>>> nodes.test3 is node3b
False

Module devicetools implements the following members:


class hydpy.core.devicetools.Keywords(*names: str)[source]

Bases: set[str]

Set of keyword arguments used to describe and search for Element and Node objects.

device: Device | None
startswith(name: str) list[str][source]

Return a list of all keywords, starting with the given string.

>>> from hydpy.core.devicetools import Keywords
>>> keywords = Keywords("first_keyword", "second_keyword",
...                     "keyword_3", "keyword_4",
...                     "keyboard")
>>> keywords.startswith("keyword")
['keyword_3', 'keyword_4']
endswith(name: str) list[str][source]

Return a list of all keywords ending with the given string.

>>> from hydpy.core.devicetools import Keywords
>>> keywords = Keywords("first_keyword", "second_keyword",
...                     "keyword_3", "keyword_4",
...                     "keyboard")
>>> keywords.endswith("keyword")
['first_keyword', 'second_keyword']
contains(name: str) list[str][source]

Return a list of all keywords containing the given string.

>>> from hydpy.core.devicetools import Keywords
>>> keywords = Keywords("first_keyword", "second_keyword",
...                     "keyword_3", "keyword_4",
...                     "keyboard")
>>> keywords.contains("keyword")
['first_keyword', 'keyword_3', 'keyword_4', 'second_keyword']
update(*names: str) None[source]

Before updating, the given names are checked to be valid variable identifiers.

>>> from hydpy.core.devicetools import Keywords
>>> keywords = Keywords("first_keyword", "second_keyword",
...                     "keyword_3", "keyword_4",
...                     "keyboard")
>>> keywords.update("test_1", "test 2")
Traceback (most recent call last):
...
ValueError: While trying to add the keyword `test 2` to device ?, the following error occurred: The given name string `test 2` does not define a valid variable identifier.  ...

Note that even the first string (test1) is not added due to the second one (test 2) being invalid.

>>> keywords
Keywords("first_keyword", "keyboard", "keyword_3", "keyword_4",
         "second_keyword")

After correcting the second string, everything works fine:

>>> keywords.update("test_1", "test_2")
>>> keywords
Keywords("first_keyword", "keyboard", "keyword_3", "keyword_4",
         "second_keyword", "test_1", "test_2")
add(name: Any) None[source]

Before adding a new name, it is checked to be a valid variable identifier.

>>> from hydpy.core.devicetools import Keywords
>>> keywords = Keywords("first_keyword", "second_keyword",
...                     "keyword_3", "keyword_4",
...                     "keyboard")
>>> keywords.add("1_test")
Traceback (most recent call last):
...
ValueError: While trying to add the keyword `1_test` to device ?, the following error occurred: The given name string `1_test` does not define a valid variable identifier.  ...
>>> keywords
Keywords("first_keyword", "keyboard", "keyword_3", "keyword_4",
         "second_keyword")

After correcting the string, everything works fine:

>>> keywords.add("one_test")
>>> keywords
Keywords("first_keyword", "keyboard", "keyword_3", "keyword_4",
         "one_test", "second_keyword")
class hydpy.core.devicetools.FusedVariable(name: str, *sequences: sequencetools.InOutSequenceTypes)[source]

Bases: object

Combines InputSequence, ReceiverSequence, and OutputSequence subclasses of different models dealing with the same property in a single variable.

Class FusedVariable is one possible type of property variable of class Node. We need it in some HydPy projects where the involved models not only pass runoff to each other but also share other types of data. Each project-specific FusedVariable object serves as a “meta-type”, indicating which input and output sequences of the different models correlate and are thus connectable.

Using class FusedVariable is easiest to explain by a concrete example. Assume we use conv_nn to interpolate the air temperature for a specific location. We use this temperature as input to an meteo_temp_io model, which passes it to an evap_ret_fao56 model, which requires this and other meteorological data to calculate potential evapotranspiration. Further, we pass the estimated potential evapotranspiration as input to lland_dd for calculating the actual evapotranspiration, which receives it through a submodel instance of evap_ret_io. Hence, we need to connect the output sequence MeanReferenceEvapotranspiration of evap_ret_fao56 with the input sequence ReferenceEvapotranspiration of evap_ret_io.

ToDo: This example needs to be updated. Today one could directly use

evap_ret_fao56 as a submodel of lland_dd. However, it still demonstrates the relevant connection mechanisms correctly.

Additionally, lland_dd requires temperature data itself for modelling snow processes, introducing the problem that we need to use the same data (the output of conv_nn) as the input of two differently named input sequences (Temperature and TemL for meteo_temp_io and lland_dd, respectively).

We need to create two FusedVariable objects, for our concrete example. E combines MeanReferenceEvapotranspiration and ReferenceEvapotranspiration and T combines Temperature and TemL (for convenience, we import their globally available aliases):

>>> from hydpy import FusedVariable
>>> from hydpy.aliases import (
...     evap_inputs_ReferenceEvapotranspiration, meteo_inputs_Temperature,
...     lland_inputs_TemL, evap_fluxes_MeanReferenceEvapotranspiration)
>>> E = FusedVariable("E", evap_inputs_ReferenceEvapotranspiration,
...                        evap_fluxes_MeanReferenceEvapotranspiration)
>>> T = FusedVariable("T", meteo_inputs_Temperature, lland_inputs_TemL)

Now we can construct the network:

  • Node t1 handles the original temperature data and serves as the input node to element conv. We define the (arbitrarily selected) string Temp to be its variable.

  • Node e receives the potential evapotranspiration calculated by element evap and passes it to element lland. Node e thus receives the fused variable E.

  • Node t2 handles the interpolated temperature and serves as the outlet node of element conv and the input node to elements evap and lland. Node t2 thus receives the fused variable T.

>>> from hydpy import Node, Element
>>> t1 = Node("t1", variable="Temp")
>>> t2 = Node("t2", variable=T)
>>> e = Node("e", variable=E)
>>> conv = Element("element_conv", inlets=t1, outlets=t2)
>>> evap = Element("element_evap", inputs=t2, outputs=e)
>>> lland = Element("element_lland", inputs=(t2, e), outlets="node_q")

Now we can prepare the different model objects and assign them to their corresponding elements (note that parameters InputCoordinates and OutputCoordinates of conv_nn first require information on the location of the relevant nodes):

>>> from hydpy import prepare_model
>>> model_conv = prepare_model("conv_nn")
>>> model_conv.parameters.control.inputcoordinates(t1=(0, 0))
>>> model_conv.parameters.control.outputcoordinates(t2=(1, 1))
>>> model_conv.parameters.control.maxnmbinputs(1)
>>> model_conv.parameters.update()
>>> conv.model = model_conv
>>> model = prepare_model("evap_ret_fao56")
>>> model.tempmodel = prepare_model("meteo_temp_io")
>>> evap.model = model
>>> model = prepare_model("lland_dd")
>>> model.aetmodel = prepare_model("evap_aet_minhas")
>>> model.aetmodel.petmodel = prepare_model("evap_ret_io")
>>> lland.model = model

We assign a temperature value to node t1:

>>> t1.sequences.sim = -273.15

Model conv_nn can now perform a simulation step and pass its output to node t2:

>>> conv.model.simulate(0)
>>> t2.sequences.sim
sim(-273.15)

Without further configuration, evap_ret_fao56 cannot perform any simulation steps. Hence, we just call its load_data() method to show that the input sequence Temperature of its submodel is well-connected to the Sim sequence of node t2 and receives the correct data:

>>> evap.model.load_data(0)
>>> evap.model.tempmodel.sequences.inputs.temperature
temperature(-273.15)

The output sequence MeanReferenceEvapotranspiration is also well connected. A call to method update_outputs() passes its (manually set) value to node e, respectively:

>>> evap.model.sequences.fluxes.meanreferenceevapotranspiration = 999.9
>>> evap.model.update_outputs()
>>> e.sequences.sim
sim(999.9)

Finally, both input sequences TemL and ReferenceEvapotranspiration receive the current values of nodes t2 and e:

>>> lland.model.load_data(0)
>>> lland.model.sequences.inputs.teml
teml(-273.15)
>>> lland.model.aetmodel.petmodel.sequences.inputs.referenceevapotranspiration
referenceevapotranspiration(999.9)

When defining fused variables, class FusedVariable performs some registration behind the scenes, similar to what classes Node and Element do. Again, the name works as the identifier, and we force the same fused variable to exist only once, even when defined in different selection files repeatedly. Hence, when we repeat the definition from above, we get the same object:

>>> Test = FusedVariable("T", meteo_inputs_Temperature, lland_inputs_TemL)
>>> T is Test
True

Changing the member sequences of an existing fused variable is not allowed:

>>> from hydpy.aliases import hland_inputs_T
>>> FusedVariable("T", hland_inputs_T, lland_inputs_TemL)
Traceback (most recent call last):
...
ValueError: The sequences combined by a FusedVariable object cannot be changed.  The already defined sequences of the fused variable `T` are `lland_inputs_TemL and meteo_inputs_Temperature` instead of `hland_inputs_T and lland_inputs_TemL`.  Keep in mind, that `name` is the unique identifier for fused variable instances.

Defining additional fused variables with the same member sequences is not advisable, but is allowed:

>>> Temp = FusedVariable("Temp", meteo_inputs_Temperature, lland_inputs_TemL)
>>> T is Temp
False

To get an overview of the existing fused variables, call method get_registry():

>>> len(FusedVariable.get_registry())
3

Principally, you can clear the registry via method clear_registry(), but remember it does not remove FusedVariable objects from the running process being otherwise referenced:

>>> FusedVariable.clear_registry()
>>> FusedVariable.get_registry()
()
>>> t2.variable
FusedVariable("T", lland_inputs_TemL, meteo_inputs_Temperature)

For convenience, FusedVariable supports equality comparisons with other fused variables (Are all handled variable types identical?), individual sequences (Is the given sequence type among the handled types?), and sequence names (Is any of the handled types the given name?):

>>> assert T == Temp
>>> assert T != E
>>> assert T == meteo_inputs_Temperature
>>> assert meteo_inputs_Temperature == T
>>> assert T != evap_inputs_ReferenceEvapotranspiration
>>> assert evap_inputs_ReferenceEvapotranspiration != T
>>> assert T == "TemL"
>>> assert "TemL" == T
>>> assert T != "ReferenceEvapotranspiration"
>>> assert "ReferenceEvapotranspiration" != T
classmethod get_registry() tuple[FusedVariable, ...][source]

Get all FusedVariable objects initialised so far.

classmethod clear_registry() None[source]

Clear the registry from all FusedVariable objects initialised so far.

Use this method only for good reasons!

class hydpy.core.devicetools.Devices(*values: TypeDevice | str | Iterable[TypeDevice | str] | None, mutable: bool = True)[source]

Bases: Generic[TypeDevice]

Base class for class Elements and class Nodes.

The following features are common to class Nodes and class Elements. We arbitrarily select class Nodes for all examples.

To initialise a Nodes collection, pass a variable number of str or Node objects. Strings are used to create new or query already existing nodes automatically:

>>> from hydpy import Node, Nodes
>>> nodes = Nodes("na",
...               Node("nb", variable="W"),
...               Node("nc", keywords=("group_a", "group_1")),
...               Node("nd", keywords=("group_a", "group_2")),
...               Node("ne", keywords=("group_b", "group_1")))

Nodes instances are containers supporting attribute and item access. You can access each node directly by its name:

>>> nodes.na
Node("na", variable="Q")
>>> nodes["na"]
Node("na", variable="Q")

In many situations, a Nodes instance contains a single node only. One can query such a single node using zero as the index for convenience:

>>> Nodes("na")[0]
Node("na", variable="Q")

Other number-based indexed are not allowed:

>>> Nodes("na", "nb")[1]
Traceback (most recent call last):
...
KeyError: 'Indexing with other numbers than `0` is not supported but `1` is given.'

An automatic check prevents unexpected results when applying zero-based indexing on Nodes instances containing multiple nodes:

>>> Nodes("na", "nb")[0]
Traceback (most recent call last):
...
KeyError: 'Indexing with `0` is only safe for Node handlers containing a single Node.'

Wrong node names result in the following error messages:

>>> nodes.wrong
Traceback (most recent call last):
...
AttributeError: The selected Nodes object has neither a `wrong` attribute nor does it handle a Node object with name or keyword `wrong`, which could be returned.
>>> nodes["wrong"]
Traceback (most recent call last):
...
KeyError: 'No node named `wrong` available.'

As explained in more detail in the documentation on property keywords, you can also use the keywords of the individual nodes to query the relevant ones:

>>> nodes.group_a
Nodes("nc", "nd")

You can remove nodes both via the attribute and item syntax:

>>> "na" in nodes
True
>>> del nodes.na
>>> "na" in nodes
False
>>> del nodes.na
Traceback (most recent call last):
...
AttributeError: The actual Nodes object does not handle a Node object named `na` which could be removed, and deleting other attributes is not supported.
>>> nodes.add_device("na")
>>> del nodes["na"]
>>> del nodes["na"]
Traceback (most recent call last):
...
KeyError: 'No node named `na` available.'

However, as shown by the following example, setting devices via attribute assignment or item assignment could result in inconsistencies and is thus not allowed (see method add_device() instead):

>>> nodes.NF = Node("nf")
Traceback (most recent call last):
...
AttributeError: Setting attributes of Nodes objects could result in confusion whether a new attribute should be handled as a Node object or as a "normal" attribute and is thus not support, hence `NF` is rejected.
>>> nodes["NF"] = Node("nf")
Traceback (most recent call last):
...
TypeError: 'Nodes' object does not support item assignment

Nodes instances support iteration:

>>> len(nodes)
4
>>> for node in nodes:
...     print(node.name, end=",")
nb,nc,nd,ne,

The binary operators +, +=, -, and -= support adding and removing single devices or groups of devices:

>>> nodes
Nodes("nb", "nc", "nd", "ne")
>>> nodes - Node("nc")
Nodes("nb", "nd", "ne")

Nodes(“nb”, “nc”, “nd”, “ne”) >>> nodes -= Nodes(“nc”, “ne”) >>> nodes Nodes(“nb”, “nd”)

>>> nodes + "nc"
Nodes("nb", "nc", "nd")
>>> nodes
Nodes("nb", "nd")
>>> nodes += ("nc", Node("ne"))
>>> nodes
Nodes("nb", "nc", "nd", "ne")

Attempts to add already existing or to remove non-existing devices do no harm:

>>> nodes
Nodes("nb", "nc", "nd", "ne")
>>> nodes + ("nc", "ne")
Nodes("nb", "nc", "nd", "ne")
>>> nodes - Node("na")
Nodes("nb", "nc", "nd", "ne")

Comparisons are supported, with “x < y” being True if “x” is a subset of “y”:

>>> subgroup = Nodes("nc", "ne")
>>> subgroup < nodes, nodes < subgroup, nodes < nodes
(True, False, False)
>>> subgroup <= nodes, nodes <= subgroup, nodes <= nodes
(True, False, True)
>>> subgroup == nodes, nodes == subgroup, nodes == nodes, nodes == "nodes"
(False, False, True, False)
>>> subgroup != nodes, nodes != subgroup, nodes != nodes, nodes != "nodes"
(True, True, False, True)
>>> subgroup >= nodes, nodes >= subgroup, nodes >= nodes
(False, True, True)
>>> subgroup > nodes, nodes > subgroup, nodes > nodes
(False, True, False)

Class Nodes supports the in operator both for str and Node objects and generally returns False for other types:

>>> "na" in nodes
False
>>> "nb" in nodes
True
>>> Node("na") in nodes
False
>>> Node("nb") in nodes
True
>>> 1 in nodes
False

Passing wrong arguments to the constructor of class Node results in errors like the following:

>>> from hydpy import Element
>>> Nodes("na", Element("ea"))
Traceback (most recent call last):
...
TypeError: While trying to initialise a `Nodes` object, the following error occurred: The given (sub)value `Element("ea")` is not an instance of the following classes: Node and str.
abstractmethod static get_contentclass() type[TypeDevice][source]

To be overridden.

add_device(device: TypeDevice | str, force: bool = False) None[source]

Add the given Node or Element object to the actual Nodes or Elements object.

You can pass either a string or a device:

>>> from hydpy import Nodes
>>> nodes = Nodes()
>>> nodes.add_device("old_node")
>>> nodes
Nodes("old_node")
>>> nodes.add_device("new_node")
>>> nodes
Nodes("new_node", "old_node")

Method add_device() is disabled for immutable Nodes and Elements objects by default:

>>> nodes._mutable = False
>>> nodes.add_device("newest_node")
Traceback (most recent call last):
...
RuntimeError: While trying to add the device `newest_node` to a Nodes object, the following error occurred: Adding devices to immutable Nodes objects is not allowed.

Use parameter force to override this safety mechanism if necessary:

>>> nodes.add_device("newest_node", force=True)
>>> nodes
Nodes("new_node", "newest_node", "old_node")
remove_device(device: TypeDevice | str, force: bool = False) None[source]

Remove the given Node or Element object from the actual Nodes or Elements object.

You can pass either a string or a device:

>>> from hydpy import Node, Nodes
>>> nodes = Nodes("node_x", "node_y")
>>> node_x, node_y = nodes
>>> nodes.remove_device(Node("node_y"))
>>> nodes
Nodes("node_x")
>>> nodes.remove_device(Node("node_x"))
>>> nodes
Nodes()
>>> nodes.remove_device(Node("node_z"))
Traceback (most recent call last):
...
ValueError: While trying to remove the device `node_z` from a Nodes object, the following error occurred: The actual Nodes object does not handle such a device.

Method remove_device() is disabled for immutable Nodes and Elements objects by default:

>>> nodes.add_device(node_x)
>>> nodes._mutable = False
>>> nodes.remove_device("node_x")
Traceback (most recent call last):
...
RuntimeError: While trying to remove the device `node_x` from a Nodes object, the following error occurred: Removing devices from immutable Nodes objects is not allowed.
>>> nodes
Nodes("node_x")

Use parameter force to override this safety mechanism if necessary:

>>> nodes.remove_device("node_x", force=True)
>>> nodes
Nodes()
property names: tuple[str, ...]

A sorted tuple of the names of the handled devices.

>>> from hydpy import Nodes
>>> Nodes("a", "c", "b").names
('a', 'b', 'c')
property devices: tuple[TypeDevice, ...]

A tuple of the handled devices sorted by the device names.

>>> from hydpy import Nodes
>>> for node in Nodes("a", "c", "b").devices:
...     print(repr(node))
Node("a", variable="Q")
Node("b", variable="Q")
Node("c", variable="Q")
property keywords: set[str]

A set of all keywords of all handled devices.

In addition to attribute access via device names, Nodes and Elements objects allow for attribute access via keywords, allowing for an efficient search of certain groups of devices. Let us use the example from above, where the nodes na and nb have no keywords, but each of the other three nodes both belongs to either group_a or group_b and group_1 or group_2:

>>> from hydpy import Node, Nodes
>>> nodes = Nodes("na",
...               Node("nb", variable="W"),
...               Node("nc", keywords=("group_a", "group_1")),
...               Node("nd", keywords=("group_a", "group_2")),
...               Node("ne", keywords=("group_b", "group_1")))
>>> nodes
Nodes("na", "nb", "nc", "nd", "ne")
>>> sorted(nodes.keywords)
['group_1', 'group_2', 'group_a', 'group_b']

If you are interested in inspecting all devices belonging to group_a, select them via this keyword:

>>> subgroup = nodes.group_1
>>> subgroup
Nodes("nc", "ne")

You can further restrict the search by also selecting the devices belonging to group_b, which holds only for node “e”, in the discussed example:

>>> subsubgroup = subgroup.group_b
>>> subsubgroup
Node("ne", variable="Q",
     keywords=["group_1", "group_b"])

Note that the keywords already used for building a device subgroup are not informative anymore (as they hold for each device) and are thus not shown anymore:

>>> sorted(subgroup.keywords)
['group_a', 'group_b']

The latter might be confusing if you intend to work with a device subgroup for a longer time. After copying the subgroup, all keywords of the contained devices are available again:

>>> from copy import copy
>>> newgroup = copy(subgroup)
>>> sorted(newgroup.keywords)
['group_1', 'group_a', 'group_b']
search_keywords(*keywords: str) TypeDevices[source]

Search for all devices handling at least one of the given keywords and return them.

>>> from hydpy import Node, Nodes
>>> nodes = Nodes("na",
...               Node("nb", variable="W"),
...               Node("nc", keywords=("group_a", "group_1")),
...               Node("nd", keywords=("group_a", "group_2")),
...               Node("ne", keywords=("group_b", "group_1")))
>>> nodes.search_keywords("group_c")
Nodes()
>>> nodes.search_keywords("group_a")
Nodes("nc", "nd")
>>> nodes.search_keywords("group_a", "group_1")
Nodes("nc", "nd", "ne")
copy() TypeDevices[source]

Return a shallow copy of the actual Nodes or Elements object.

Method copy() returns a semi-flat copy of Nodes or Elements objects due to their devices being not copyable:

>>> from hydpy import Nodes
>>> old = Nodes("x", "y")
>>> import copy
>>> new = copy.copy(old)
>>> new == old
True
>>> new is old
False
>>> new.devices is old.devices
False
>>> new.x is new.x
True

Changing the name of a device is recognised both by the original and the copied collection objects:

>>> new.x.name = "z"
>>> old.z
Node("z", variable="Q")
>>> new.z
Node("z", variable="Q")

Deep copying is permitted due to the above reason:

>>> copy.deepcopy(old)
Traceback (most recent call last):
...
NotImplementedError: Deep copying of Nodes objects is not supported, as it would require to make deep copies of the Node objects themselves, which is in conflict with using their names as identifiers.
intersection(*other: TypeDevices) TypeDevices[source]

Return the intersection with the given Devices object.

>>> from hydpy import Node, Nodes
>>> nodes1 = Nodes("na", "nb", "nc")
>>> nodes2 = Nodes("na", "nc", "nd")
>>> nodes1.intersection(*nodes2)
Nodes("na", "nc")
assignrepr(prefix: str = '') str[source]

Return a repr() string with a prefixed assignment.

class hydpy.core.devicetools.Nodes(*values: MayNonerable2[Node, str], mutable: bool = True, defaultvariable: NodeVariableType = 'Q')[source]

Bases: Devices[Node]

A container class for handling Node objects.

For the general usage of Nodes objects, please see the documentation on its base class Devices.

Class Nodes provides the additional keyword argument defaultvariable. Use it to temporarily change the default variable “Q” to another value during the initialisation of new Node objects:

>>> from hydpy import Nodes
>>> a1, t2 = Nodes("a1", "a2", defaultvariable="A")
>>> a1
Node("a1", variable="A")

Be aware that changing the default variable does not affect already existing nodes:

>>> a1, b1 = Nodes("a1", "b1", defaultvariable="B")
>>> a1
Node("a1", variable="A")
>>> b1
Node("b1", variable="B")
static get_contentclass() type[Node][source]

Return class Node.

prepare_allseries(allocate_ram: bool = True, jit: bool = False) None[source]

Call method prepare_allseries() of all handled Node objects.

prepare_simseries(allocate_ram: bool = True, read_jit: bool = False, write_jit: bool = False) None[source]

Call method prepare_simseries() of all handled Node objects.

prepare_obsseries(allocate_ram: bool = True, read_jit: bool = False, write_jit: bool = False) None[source]

Call method prepare_obsseries() of all handled Node objects.

load_allseries() None[source]

Call methods load_simseries() and load_obsseries().

load_simseries() None[source]

Call method load_series() of all Sim objects with an activated memoryflag.

load_obsseries() None[source]

Call method load_series() of all Obs objects with an activated memoryflag.

save_allseries() None[source]

Call methods save_simseries() and save_obsseries().

save_simseries() None[source]

Call method save_series() of all Sim objects with an activated memoryflag.

save_obsseries() None[source]

Call method save_series() of all Obs objects with an activated memoryflag.

property variables: set[NodeVariableType]

Return a set of the variables of all handled Node objects.

>>> from hydpy import Node, Nodes
>>> nodes = Nodes(Node("x1"),
...               Node("x2", variable="Q"),
...               Node("x3", variable="H"))
>>> sorted(nodes.variables)
['H', 'Q']
class hydpy.core.devicetools.Elements(*values: TypeDevice | str | Iterable[TypeDevice | str] | None, mutable: bool = True)[source]

Bases: Devices[Element]

A container for handling Element objects.

For the general usage of Elements objects, please see the documentation on its base class Devices.

static get_contentclass() type[Element][source]

Return class Element.

property collectives: dict[str | None, tuple[Element, ...]]

The names and members of all currently relevant collectives.

Note that all Element instances not belonging to any collective are returned as a separate group:

>>> from hydpy import Element, Elements
>>> Elements().collectives
{}
>>> for group, elements in Elements(
...     Element("a"), Element("b1", collective="b"), Element("c"),
...     Element("d1", collective="d"), Element("b2", collective="b")
... ).collectives.items():
...     print(group, [e.name for e in elements])
None ['a', 'c']
b ['b1', 'b2']
d ['d1']
unite_collectives() Elements[source]

Create overarching elements for all original elements that belong to a collective.

All elements of the same collective must be handled as one entity during simulation. A typical use case is that individual elements describe different channels of a large river network, and all of them must be handled simultaneously by a single routing model instance to account for backwater effects. We create such an example by combining instances of musk_classic (for “hydrological” routing neglecting backwater effects) and sw1d_channel (for “hydrodynamic” routing considering backwater effects).

First, we create a FusedVariable object for connecting the inlets and outlets of musk_classic and sw1d_channel:

>>> from hydpy import FusedVariable
>>> from hydpy.aliases import (musk_inlets_Q, sw1d_inlets_LongQ,
...                            musk_outlets_Q, sw1d_outlets_LongQ)
>>> q = FusedVariable("Q", musk_inlets_Q, sw1d_inlets_LongQ,
...                   musk_outlets_Q, sw1d_outlets_LongQ)

The spatial setting is more concise than realistic and consists of four channels. Channel A discharges into channel B, which discharges into channel C, which discharges into channel D. We neglect backwater effects within channels A and D. Hence we do not need to associate them with a collective and musk_classic becomes an appropriate choice. Channel B and C are represented by separate collectives. Hence, the setting could account for backwater effects within both channels but not between them. Channel B consists only of a single subchannel (represented by element b), while channel C consists of two subchannels (represented by elements c1 and c2):

>>> from hydpy import Element, Elements, Nodes
>>> q_a, q_a_b, q_b_c1, q_c1_c2, q_c2_d, q_d = Nodes(
...     "q_a", "q_a_b", "q_b_c1", "q_c1_c2", "q_c2_d", "q_d",
...     defaultvariable=q)
>>> e_a = Element("e_a", inlets=q_a, outlets=q_a_b)
>>> e_b = Element("e_b", collective="B", inlets=q_a_b, outlets=q_b_c1)
>>> e_c1 = Element("e_c1", collective="C", inlets=q_b_c1, outlets=q_c1_c2)
>>> e_c2 = Element("e_c2", collective="C", inlets=q_c1_c2, outlets=q_c2_d)
>>> e_d = Element("e_d", inlets=q_c2_d, outlets=q_d)
>>> elements = Elements(e_a, e_b, e_c1, e_c2, e_d)

Method unite_collectives() expects only those elements belonging to a collective to come with a ready Model instance. So we only need to prepare sw1d_channel instances for elements b, c1, and c2, including the required submodels:

>>> from hydpy import prepare_model, pub
>>> pub.timegrids = "2000-01-01", "2000-01-02", "1d"
>>> for element in (e_b, e_c1, e_c2):
...     channel = prepare_model("sw1d_channel")
...     channel.parameters.control.nmbsegments(1)
...     add_storage = channel.add_storagemodel_v1
...     with add_storage("sw1d_storage", position=0, update=False):
...         pass
...     if element in (e_b, e_c1):
...         with channel.add_routingmodel_v1("sw1d_q_in", position=0):
...             pass
...     if element is e_c1:
...         with channel.add_routingmodel_v2("sw1d_lias", position=1):
...             lengthupstream(1.0)
...             lengthdownstream(1.0)
...     if element in (e_b, e_c2):
...         with channel.add_routingmodel_v3("sw1d_weir_out", position=1):
...             pass
...     element.model = channel

Based on the defined five elements, method unite_collectives() returns four:

>>> elements.unite_collectives()
Elements("B", "C", "e_a", "e_d")

The returned elements a and d are the same as those defined initially, as they do not belong to any collectives:

>>> collectives = elements.unite_collectives()
>>> collectives.e_a is e_a
True

However, the elements B and C are new. B replaces element b, and C replaces elements c1 and c2. Both handle instances of sw1d_network, which is the suitable model for connecting and applying the submodels of sw1d_channel (see ModelCoupler):

>>> e_b, e_c = collectives.B, collectives.C
>>> e_b.model.name
'sw1d_network'

The new element B has the same inlet and outlet nodes as b:

>>> e_b
Element("B",
        inlets="q_a_b",
        outlets="q_b_c1")

However, C adopts both outlet nodes of c1 and c2 but only the inlet node of c1, which is relevant for clarifying the deviceorder during simulations:

>>> e_c
Element("C",
        inlets="q_b_c1",
        outlets=["q_c1_c2", "q_c2_d"])

The following technical checks ensure the underlying coupling mechanisms actually worked:

>>> assert e_b.model.storagemodels.number == 1
>>> assert e_c.model.storagemodels.number == 2
>>> assert e_b.model.routingmodels.number == 2
>>> assert e_c.model.routingmodels.number == 3
>>> assert e_c.model.routingmodels[1].routingmodelsdownstream[0] is e_c.model.routingmodels[2]

unite_collectives() raises the following error if an element belonging to a collective does not handle a Model instance:

>>> e_d.collective = "D"
>>> elements.unite_collectives()
Traceback (most recent call last):
...
hydpy.core.exceptiontools.AttributeNotReady: While trying to unite the elements belonging to collective `D`, the following error occurred: The model object of element `e_d` has been requested but not been prepared so far.

unite_collectives() raises the following error if an element belonging to a collective does handle an unsuitable Model instance:

>>> e_d.model = prepare_model("musk_classic")
>>> elements.unite_collectives()
Traceback (most recent call last):
...
TypeError: While trying to unite the elements belonging to collective `D`, the following error occurred: Model `musk_classic` of element `e_d` does not provide a function for coupling models that belong to the same collective.
prepare_models() None[source]

Call method prepare_model() of all handle Element objects.

We show, based on the HydPy-H-Lahn example project, that method init_model() prepares the Model objects of all elements, including building the required connections and updating the derived parameters:

>>> from hydpy.core.testtools import prepare_full_example_1
>>> prepare_full_example_1()
>>> from hydpy import attrready, HydPy, pub, TestIO
>>> with TestIO():
...     hp = HydPy("HydPy-H-Lahn")
...     pub.timegrids = "1996-01-01", "1996-02-01", "1d"
...     hp.prepare_network()
...     hp.prepare_models()
>>> hp.elements.land_dill_assl.model.parameters.derived.dt
dt(0.000833)

Wrong control files result in error messages like the following:

>>> with TestIO():
...     with open("HydPy-H-Lahn/control/default/land_dill_assl.py",
...               "a") as file_:
...         _ = file_.write("zonetype(-1)")
...     hp.prepare_models()
Traceback (most recent call last):
...
ValueError: While trying to initialise the model object of element `land_dill_assl`, the following error occurred: While trying to load the control file `...land_dill_assl.py`, the following error occurred: At least one value of parameter `zonetype` of element `?` is not valid.

By default, missing control files result in exceptions:

>>> del hp.elements.land_dill_assl.model
>>> import os
>>> with TestIO():
...     os.remove("HydPy-H-Lahn/control/default/land_dill_assl.py")
...     hp.prepare_models()
Traceback (most recent call last):
...
FileNotFoundError: While trying to initialise the model object of element `land_dill_assl`, the following error occurred: While trying to load the control file `...land_dill_assl.py`, the following error occurred: ...
>>> attrready(hp.elements.land_dill_assl, "model")
False

When building new, still incomplete HydPy projects, this behaviour can be annoying. After setting the option warnmissingcontrolfile to False, missing control files result in a warning only:

>>> with TestIO():
...     with pub.options.warnmissingcontrolfile(True):
...         hp.prepare_models()
Traceback (most recent call last):
...
UserWarning: Due to a missing or no accessible control file, no model could be initialised for element `land_dill_assl`
>>> attrready(hp.elements.land_dill_assl, "model")
False
init_models() None[source]

Deprecated: use method prepare_models() instead.

>>> from hydpy import Elements
>>> from unittest import mock
>>> with mock.patch.object(Elements, "prepare_models") as mocked:
...     elements = Elements()
...     elements.init_models()
Traceback (most recent call last):
...
hydpy.core.exceptiontools.HydPyDeprecationWarning: Method `init_models` of class `Elements` is deprecated.  Use method `prepare_models` instead.
>>> mocked.call_args_list
[call()]
save_controls(parameterstep: timetools.PeriodConstrArg | None = None, simulationstep: timetools.PeriodConstrArg | None = None, auxfiler: auxfiletools.Auxfiler | None = None) None[source]

Save the control parameters of the Model object handled by each Element object and eventually the ones handled by the given Auxfiler object.

update_parameters() None[source]

Update the derived parameters of all models managed by the respective elements.

load_conditions() None[source]

Load the initial conditions of the Model object handled by each Element object.

save_conditions() None[source]

Save the calculated conditions of the Model object handled by each Element object.

trim_conditions() None[source]

Call method trim_conditions() of the Model object handled by each Element object.

reset_conditions() None[source]

Call method reset_conditions() of the Model object handled by each Element object.

property conditions: dict[str, dict[str, dict[str, dict[str, float | ndarray[tuple[Any, ...], dtype[float64]]]]]]

A nested dictionary that contains the values of all ConditionSequence objects of all currently handled models.

See the documentation on property conditions for further information.

prepare_allseries(allocate_ram: bool = True, jit: bool = False) None[source]

Call method prepare_allseries() of all handled Element objects.

prepare_inputseries(allocate_ram: bool = True, read_jit: bool = False, write_jit: bool = False) None[source]

Call method prepare_inputseries() of all handled Element objects.

prepare_factorseries(allocate_ram: bool = True, write_jit: bool = False) None[source]

Call method prepare_factorseries() of all handled Element objects.

prepare_fluxseries(allocate_ram: bool = True, write_jit: bool = False) None[source]

Call method prepare_fluxseries() of all handled Element objects.

prepare_stateseries(allocate_ram: bool = True, write_jit: bool = False) None[source]

Call method prepare_stateseries() of all handled Element objects.

prepare_linkseries(allocate_ram: bool = True, write_jit: bool = False) None[source]

Call method prepare_linkseries() of all handled Element objects.

load_allseries() None[source]

Call method load_inputseries() of all handled Element objects.

load_inputseries() None[source]

Call method load_inputseries() of all handled Element objects.

load_factorseries() None[source]

Call method load_factorseries() of all handled Element objects.

load_fluxseries() None[source]

Call method load_fluxseries() of all handled Element objects.

load_stateseries() None[source]

Call method load_stateseries() of all handled Element objects.

load_linkseries() None[source]

Call method load_linkseries() of all handled Element objects.

save_allseries() None[source]

Call method save_allseries() of all handled Element objects.

save_inputseries() None[source]

Call method save_inputseries() of all handled Element objects.

save_factorseries() None[source]

Call method save_factorseries() of all handled Element objects.

save_fluxseries() None[source]

Call method save_fluxseries() of all handled Element objects.

save_stateseries() None[source]

Call method save_stateseries() of all handled Element objects.

save_linkseries() None[source]

Call method save_linkseries() of all handled Element objects.

class hydpy.core.devicetools.Device(value: Device | str, *args: object, **kwargs: object)[source]

Bases: object

Base class for class Element and class Node.

abstractmethod classmethod get_handlerclass() type[Devices[Any]][source]

To be overridden.

classmethod query_all() Devices[Self][source]

Get all Node or Element objects initialised so far.

See the main documentation on module devicetools for further information.

classmethod extract_new() Devices[Self][source]

Gather all “new” Node or Element objects.

See the main documentation on module devicetools for further information.

classmethod clear_all() None[source]

Clear the registry from all initialised Node or Element objects.

See the main documentation on module devicetools for further information.

property name: str

Name of the actual Node or Element object.

Device names serve as identifiers, as explained in the main documentation on module devicetools. Hence, define them carefully:

>>> from hydpy import Node
>>> Node.clear_all()
>>> node1, node2 = Node("n1"), Node("n2")
>>> node1 is Node("n1")
True
>>> node1 is Node("n2")
False

Each device name must be a valid variable identifier (see function valid_variable_identifier()) to allow for attribute access:

>>> from hydpy import Nodes
>>> nodes = Nodes(node1, "n2")
>>> nodes.n1
Node("n1", variable="Q")

Invalid variable identifiers result in errors like the following:

>>> node3 = Node("n 3")
Traceback (most recent call last):
...
ValueError: While trying to initialize a `Node` object with value `n 3` of type `str`, the following error occurred: The given name string `n 3` does not define a valid variable identifier.  ...

When you change the name of a device (only do this for a good reason), the corresponding keys of all related Nodes and Elements objects (as well as of the internal registry) change automatically:

>>> Node.query_all()
Nodes("n1", "n2")
>>> node1.name = "n1a"
>>> nodes
Nodes("n1a", "n2")
>>> Node.query_all()
Nodes("n1a", "n2")
keywords

Keywords describing the actual Node or Element object.

The keywords are contained within a Keywords object:

>>> from hydpy import Node
>>> node = Node("n", keywords="word0")
>>> node.keywords
Keywords("word0")

Assigning new words does not overwrite already existing ones. You are allowed to add them individually or within iterable objects:

>>> node.keywords = "word1"
>>> node.keywords = "word2", "word3"
>>> node.keywords
Keywords("word0", "word1", "word2", "word3")

Additionally, passing additional keywords to the constructor of class Node or Element works also fine:

>>> Node("n", keywords=("word3", "word4", "word5"))
Node("n", variable="Q",
     keywords=["word0", "word1", "word2", "word3", "word4", "word5"])

You can delete all keywords at once:

>>> del node.keywords
>>> node.keywords
Keywords()
class hydpy.core.devicetools.Node(value: Device | str, *args: object, **kwargs: object)[source]

Bases: Device

Handles the data flow between Element objects.

Node objects always handle two sequences, a Sim object for simulated values and an Obs object for measured values:

>>> from hydpy import Node
>>> node = Node("test")
>>> for sequence in node.sequences:
...     print(sequence)
sim(0.0)
obs(0.0)

Each node can handle an arbitrary number of “input” and “output” elements, available as instance attributes entries and exits, respectively:

>>> node.entries
Elements()
>>> node.exits
Elements()

You cannot (or at least should not) add new elements manually:

>>> node.entries = "element"
Traceback (most recent call last):
...
AttributeError: ...
>>> node.exits.add_device("element")
Traceback (most recent call last):
...
RuntimeError: While trying to add the device `element` to a Elements object, the following error occurred: Adding devices to immutable Elements objects is not allowed.

Instead, see the documentation on class Element on how to connect Node and Element objects properly.

masks = defaultmask of module hydpy.core.masktools
sequences: sequencetools.NodeSequences
classmethod get_handlerclass() type[Nodes][source]

Return class Nodes.

property entries: Elements

Group of Element objects which set the the simulated value of the Node object.

property exits: Elements

Group of Element objects that query the simulated or observed value of the actual Node object.

property variable: NodeVariableType

The variable handled by the actual Node object.

By default, we suppose that nodes route discharge:

>>> from hydpy import Node
>>> node = Node("test1")
>>> node.variable
'Q'

Each other string, as well as each InputSequence subclass, is acceptable (for further information, see the documentation on method connect()):

>>> Node("test2", variable="H")
Node("test2", variable="H")
>>> from hydpy.models.hland.hland_inputs import T
>>> Node("test3", variable=T)
Node("test3", variable=hland_inputs_T)

The last example above shows that the string representations of nodes handling “class variables” use the aliases importable from the top level of the HydPy package:

>>> from hydpy.aliases import hland_inputs_P
>>> Node("test4", variable=hland_inputs_P)
Node("test4", variable=hland_inputs_P)

For some complex HydPy projects, one may need to fall back on FusedVariable objects. The string representation then relies on the name of the fused variable:

>>> from hydpy import FusedVariable
>>> from hydpy.aliases import lland_inputs_Nied
>>> Precipitation = FusedVariable("Precip", hland_inputs_P, lland_inputs_Nied)
>>> Node("test5", variable=Precipitation)
Node("test5", variable=Precip)

To avoid confusion, one cannot change variable:

>>> node.variable = "H"
Traceback (most recent call last):
...
AttributeError: ...
>>> Node("test1", variable="H")
Traceback (most recent call last):
...
ValueError: The variable to be represented by a Node instance cannot be changed.  The variable of node `test1` is `Q` instead of `H`.  Keep in mind, that `name` is the unique identifier of node objects.
property deploymode: Literal['newsim', 'oldsim', 'obs', 'obs_newsim', 'obs_oldsim', 'oldsim_bi', 'obs_bi', 'obs_oldsim_bi', 'newsim_update', 'obs_newsim_update']

Defines the kind of information a node offers its exit elements, eventually, its entry elements.

HydPy supports the following user-relevant modes:

  • newsim: Deploy the simulated values calculated just recently. newsim is the default mode, used, for example, when a node receives a discharge value from an upstream element and passes it to the downstream element directly.

  • obs: Deploy observed values instead of simulated values. The node still receives the simulated values from its upstream element(s). However, it deploys values to its downstream element(s), which are defined externally. Usually, these values are observations made available within a time series file. See the documentation on module sequencetools for further information on file specifications.

  • oldsim: Similar to mode obs. However, it is usually applied when a node is supposed to deploy simulated values that have been calculated in a previous simulation run and stored in a sequence file.

  • obs_newsim: Combination of mode obs and newsim. Mode obs_newsim gives priority to the provision of observation values. New simulation values serve as a replacement for missing observed values.

  • obs_oldsim: Combination of mode obs and oldsim. Mode obs_oldsim gives priority to the provision of observation values. Old simulation values serve as a replacement for missing observed values.

  • obs_bi: Similar to the obs mode but triggers “bidirectional” deployment. All bidirectional modes only apply if the upstream element(s) do not calculate data for but expect from their downstream nodes. A typical example is using discharge measurements as lower boundary conditions for a hydrodynamical flood routing method.

  • oldsim_bi: The bidirectional version of the oldsim mode.

  • obs_oldsim_bi: The bidirectional version of the obs_oldsim mode.

One relevant difference between modes obs and oldsim is that the external values are either handled by the obs or the sim sequence object. Hence, if you select the oldsim mode, the values of the upstream elements calculated within the current simulation are not available (e.g. for parameter calibration) after the simulation finishes.

There are also the “update” modes newsim_update and obs_newsim_update. HydPy sets these modes temporarily when a newsim or a obs_newsim node represents a transition between a network’s parallelisable and non-parallelisable parts. Users should activate these two modes only for testing purposes.

Please refer to the documentation on method simulate() of class HydPy, which provides some application examples.

>>> from hydpy import Node
>>> node = Node("test")
>>> node.deploymode
'newsim'
>>> node.deploymode = "obs"
>>> node.deploymode
'obs'
>>> node.deploymode = "oldsim"
>>> node.deploymode
'oldsim'
>>> node.deploymode = "obs_newsim"
>>> node.deploymode
'obs_newsim'
>>> node.deploymode = "obs_oldsim"
>>> node.deploymode
'obs_oldsim'
>>> node.deploymode = "oldsim_bi"
>>> node.deploymode
'oldsim_bi'
>>> node.deploymode = "obs_bi"
>>> node.deploymode
'obs_bi'
>>> node.deploymode = "obs_oldsim_bi"
>>> node.deploymode
'obs_oldsim_bi'
>>> node.deploymode = "newsim_update"
>>> node.deploymode
'newsim_update'
>>> node.deploymode = "obs_newsim_update"
>>> node.deploymode
'obs_newsim_update'
>>> node.deploymode = "newsim"
>>> node.deploymode
'newsim'
>>> node.deploymode = "oldobs"
Traceback (most recent call last):
...
ValueError: When trying to set the routing mode of node `test`, the value `oldobs` was given, but only the following values are allowed: `newsim`, `oldsim`, `obs`, `obs_newsim`, `obs_oldsim`, `oldsim_bi`, `obs_bi`, `obs_oldsim_bi`, `newsim_update`, and `obs_newsim_update`.
get_double(group: Literal['inlets', 'outlets', 'observers', 'receivers', 'senders', 'inputs', 'outputs']) Double[source]

Return the Double object appropriate for the given Element input or output group and the actual deploymode.

Method get_double() should interest framework developers only (and eventually model developers).

Let Node object node1 handle different simulation and observation values:

>>> from hydpy import Node
>>> node = Node("node1")
>>> node.sequences.sim = 1.0
>>> node.sequences.obs = 2.0

The following test function shows for a given deploymode if method get_double() either returns the Double object handling the simulated value (1.0) or the one handling the observed value (2.0):

>>> def test(deploymode):
...     node.deploymode = deploymode
...     for group in ( "inlets", "observers", "receivers", "inputs"):
...         end = None if group == "inputs" else ", "
...         print(group, node.get_double(group), sep=": ", end=end)
...     for group in ("outlets", "senders", "outputs"):
...         end = None if group == "outputs" else ", "
...         print(group, node.get_double(group), sep=": ", end=end)

In the default mode, nodes (passively) route simulated values by offering the Double object of sequence Sim to all Element input and output groups:

>>> test("newsim")
inlets: 1.0, observers: 1.0, receivers: 1.0, inputs: 1.0
outlets: 1.0, senders: 1.0, outputs: 1.0

Setting deploymode to obs means that a node receives simulated values but provides observed values:

>>> test("obs")
inlets: 2.0, observers: 2.0, receivers: 2.0, inputs: 2.0
outlets: 1.0, senders: 1.0, outputs: 1.0

With deploymode set to oldsim, the node provides (previously) simulated values but does not receive any. Method get_double() returns a dummy Double object initialised to 0.0 in this case:

>>> test("oldsim")
inlets: 1.0, observers: 1.0, receivers: 1.0, inputs: 1.0
outlets: 0.0, senders: 0.0, outputs: 0.0

For obs_newsim, the result is like for obs because, for missing data, HydPy temporarily copies newly calculated values into the observation sequence during simulation:

>>> test("obs_newsim")
inlets: 2.0, observers: 2.0, receivers: 2.0, inputs: 2.0
outlets: 1.0, senders: 1.0, outputs: 1.0

Similar holds for the obs_oldsim mode, but here get_double() must ensure newly calculated values do not overwrite the “old” ones:

>>> test("obs_oldsim")
inlets: 2.0, observers: 2.0, receivers: 2.0, inputs: 2.0
outlets: 0.0, senders: 0.0, outputs: 0.0

All “bidirectional” modes require symmetrical connections, as they long for passing the same information in the downstream and the upstream direction:

>>> test("obs_bi")
inlets: 2.0, observers: 2.0, receivers: 2.0, inputs: 2.0
outlets: 2.0, senders: 2.0, outputs: 2.0
>>> test("oldsim_bi")
inlets: 1.0, observers: 1.0, receivers: 1.0, inputs: 1.0
outlets: 1.0, senders: 1.0, outputs: 1.0
>>> test("obs_oldsim_bi")
inlets: 2.0, observers: 2.0, receivers: 2.0, inputs: 2.0
outlets: 2.0, senders: 2.0, outputs: 2.0
reset(idx: int = 0) None[source]

Reset the actual value of the simulation sequence to zero.

>>> from hydpy import Node
>>> node = Node("node1")
>>> node.sequences.sim = 1.0
>>> node.reset()
>>> node.sequences.sim
sim(0.0)
prepare_allseries(allocate_ram: bool = True, jit: bool = False) None[source]

Call method prepare_simseries() with write_jit=jit and method prepare_obsseries() with read_jit=jit.

prepare_simseries(allocate_ram: bool = True, read_jit: bool = False, write_jit: bool = False) None[source]

Call method prepare_series() of the Sim sequence object.

prepare_obsseries(allocate_ram: bool = True, read_jit: bool = False, write_jit: bool = False) None[source]

Call method prepare_series() of the Obs sequence object.

plot_allseries(*, labels: tuple[str, str] | None = None, colors: str | tuple[str, str] | None = None, linestyles: Literal['-', '--', '-.', ':', 'solid', 'dashed', 'dashdot', 'dotted'] | tuple[Literal['-', '--', '-.', ':', 'solid', 'dashed', 'dashdot', 'dotted'], Literal['-', '--', '-.', ':', 'solid', 'dashed', 'dashdot', 'dotted']] | None = None, linewidths: int | tuple[int, int] | None = None, focus: bool = False, stepsize: Literal['daily', 'd', 'monthly', 'm', 'yearly', 'y'] | None = None) Figure[source]

Plot the series data of both the Sim and the Obs sequence object.

We demonstrate the functionalities of method plot_allseries() based on the Lahn example project:

>>> from hydpy.core.testtools import prepare_full_example_2
>>> hp, pub, _ = prepare_full_example_2(lastdate="1997-01-01")

We perform a simulation run and calculate “observed” values for node dill_assl:

>>> hp.simulate()
>>> dill_assl = hp.nodes.dill_assl
>>> dill_assl.sequences.obs.series = dill_assl.sequences.sim.series + 10.0

A call to method plot_allseries() prints the time series of both sequences to the screen immediately (if not, you need to activate the interactive mode of matplotlib first):

>>> figure = dill_assl.plot_allseries()

Subsequent calls to plot_allseries() or the related methods plot_simseries() and plot_obsseries() of nodes add further time series data to the existing plot:

>>> lahn_marb = hp.nodes.lahn_marb
>>> figure = lahn_marb.plot_simseries()

You can modify the appearance of the lines by passing different arguments:

>>> lahn_marb.sequences.obs.series = lahn_marb.sequences.sim.series + 10.0
>>> figure = lahn_marb.plot_obsseries(color="black", linestyle="dashed")

All mentioned plotting functions return a matplotlib Figure object. Use it for further plot handling, e.g. adding a title and saving the current figure to disk:

>>> from hydpy.core.testtools import save_autofig
>>> text = figure.axes[0].set_title('daily')
>>> save_autofig("Node_plot_allseries_1.png", figure)
_images/Node_plot_allseries_1.png

You can plot the data in an aggregated manner (see the documentation on the function aggregate_series() for the supported step sizes and further details):

>>> figure = dill_assl.plot_allseries(stepsize="monthly")
>>> text = figure.axes[0].set_title('monthly')
>>> save_autofig("Node_plot_allseries_2.png", figure)
_images/Node_plot_allseries_2.png

You can restrict the plotted period via the eval_ Timegrid and overwrite the time series label and other defaults via keyword arguments. For tuples passed to method plot_allseries(), the first entry corresponds to the observation and the second one to the simulation results:

>>> pub.timegrids.eval_.dates = "1996-10-01", "1996-11-01"
>>> figure = lahn_marb.plot_allseries(labels=("measured", "calculated"),
...                                colors=("blue", "red"),
...                                linewidths=2,
...                                linestyles=("--", ":"),
...                                focus=True,)
>>> save_autofig("Node_plot_allseries_3.png", figure)
_images/Node_plot_allseries_3.png

When necessary, all plotting methods raise errors like the following:

>>> figure = lahn_marb.plot_allseries(stepsize="quaterly")
Traceback (most recent call last):
...
ValueError: While trying to plot the time series of the sequences obs and sim of node `lahn_marb` for the period `1996-10-01 00:00:00` to `1996-11-01 00:00:00`, the following error occurred: While trying to aggregate the given series, the following error occurred: Argument `stepsize` received value `quaterly`, but only the following ones are supported: `monthly` (default), `daily`, and `yearly`.
>>> from hydpy import pub
>>> del pub.timegrids
>>> figure = lahn_marb.plot_allseries()
Traceback (most recent call last):
...
hydpy.core.exceptiontools.AttributeNotReady: While trying to plot the time series of the sequences obs and sim of node `lahn_marb`, the following error occurred: Attribute timegrids of module `pub` is not defined at the moment.
plot_simseries(*, label: str | None = None, color: str | None = None, linestyle: Literal['-', '--', '-.', ':', 'solid', 'dashed', 'dashdot', 'dotted'] | None = None, linewidth: int | None = None, focus: bool = False, stepsize: Literal['daily', 'd', 'monthly', 'm', 'yearly', 'y'] | None = None) Figure[source]

Plot the series of the Sim sequence object.

See method plot_allseries() for further information.

plot_obsseries(*, label: str | None = None, color: str | None = None, linestyle: Literal['-', '--', '-.', ':', 'solid', 'dashed', 'dashdot', 'dotted'] | None = None, linewidth: int | None = None, focus: bool = False, stepsize: Literal['daily', 'd', 'monthly', 'm', 'yearly', 'y'] | None = None) Figure[source]

Plot the series of the Obs sequence object.

See method plot_allseries() for further information.

plot_alldurationcurves(*, labels: tuple[str, str] | None = None, colors: str | tuple[str, str] | None = None, linestyles: Literal['-', '--', '-.', ':', 'solid', 'dashed', 'dashdot', 'dotted'] | tuple[Literal['-', '--', '-.', ':', 'solid', 'dashed', 'dashdot', 'dotted'], Literal['-', '--', '-.', ':', 'solid', 'dashed', 'dashdot', 'dotted']] | None = None, linewidths: int | tuple[int, int] | None = None, logscale: bool = True) Figure[source]

Plot the evalseries of both the Sim and the Obs sequence in the form of a (flow) duration curve.

Method plot_alldurationcurves() works very similar to method plot_allseries(). Hence, we restrict the following examples to their key differences.

We use the Lahn example project in the same way:

>>> from hydpy.core.testtools import prepare_full_example_2
>>> hp, pub, _ = prepare_full_example_2(lastdate="1997-01-01")
>>> hp.simulate()
>>> dill_assl = hp.nodes.dill_assl
>>> dill_assl.sequences.obs.series = dill_assl.sequences.sim.series + 10.0

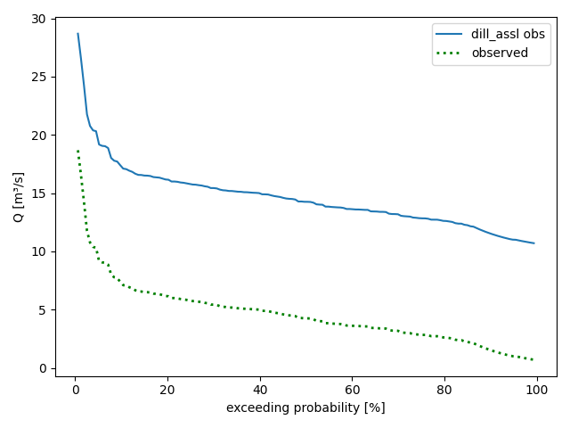
By default, method plot_alldurationcurves() chooses a logarithmic y-scale and the following graphical settings:

>>> figure = dill_assl.plot_alldurationcurves()
>>> from hydpy.core.testtools import save_autofig
>>> save_autofig("Node_plot_alldurationcurves_1.png", figure)
_images/Node_plot_alldurationcurves_1.png

Despite its option to disable the logarithmic y-scale, the configuration works as for method plot_allseries():

>>> figure = dill_assl.plot_alldurationcurves(
...     labels=("observed", "simulated"),
...     colors=("black", "green"),
...     linestyles=":",
...     linewidths=(1, 2),
...     logscale=False,
... )
>>> _ = figure.gca().set_title("Asslar (Dill)")
>>> figure.tight_layout()
>>> save_autofig("Node_plot_alldurationcurves_2.png", figure)
_images/Node_plot_alldurationcurves_2.png

Again, you can modify the considered period via the eval_ time grid and plot the different curves individually via methods plot_obsdurationcurve() and plot_simdurationcurve() (in which case the last method call decides whether the y-scale is logarithmic or linear):

>>> pub.timegrids.eval_.lastdate = "1996-06-01"
>>> figure = dill_assl.plot_obsdurationcurve()
>>> figure = dill_assl.plot_simdurationcurve(
...     label="observed",
...     color="green",
...     linestyle=":",
...     linewidth=2,
...     logscale=False,
... )
>>> save_autofig("Node_plot_alldurationcurves_3.png", figure)
_images/Node_plot_alldurationcurves_3.png

Misspecifications result in error messages like the following:

>>> dill_assl.plot_alldurationcurves(linestyles=".")
Traceback (most recent call last):
...
ValueError: While trying to plot the duration curves of the sequences obs and sim of node `dill_assl` for the period `1996-01-01 00:00:00` to `1996-06-01 00:00:00`, the following error occurred: '.' is not a valid value for ls; supported values are '-', '--', '-.', ':', 'None', ' ', '', 'solid', 'dashed', 'dashdot', 'dotted'
plot_simdurationcurve(*, label: str | None = None, color: str | None = None, linestyle: Literal['-', '--', '-.', ':', 'solid', 'dashed', 'dashdot', 'dotted'] | None = None, linewidth: int | None = None, logscale: bool = True) Figure[source]

Plot the series of the Sim sequence object.

See method plot_allseries() for further information.

plot_obsdurationcurve(*, label: str | None = None, color: str | None = None, linestyle: Literal['-', '--', '-.', ':', 'solid', 'dashed', 'dashdot', 'dotted'] | None = None, linewidth: int | None = None, logscale: bool = True) Figure[source]

Plot the duration curve of the series of the Obs sequence object.

See method plot_allseries() for further information.

assignrepr(prefix: str = '') str[source]

Return a repr() string with a prefixed assignment.

class hydpy.core.devicetools.Element(value: Device | str, *args: object, **kwargs: object)[source]

Bases: Device

Handles a Model object and connects it to other models via

Node objects.

When preparing Element objects, one links them to nodes of different “groups”, each group of nodes implemented as an immutable Nodes object:

  • inlets and outlets nodes handle, for example, the inflow to and the outflow from the respective element.

  • receivers, observers, and senders nodes are thought for information flow. receivers nodes allow for arbitrarily directed connections, even to downstream locations (for example, to inform a dam model about the discharge at a gauge downstream). In contrast, observers nodes do not support such cyclic connections. However, observers nodes offer the advantage of direct information exchange, while receivers nodes provide their information with a delay of one simulation time step (to break possible cycles in the spatial simulation order).

  • inputs nodes provide optional input information, for example, interpolated precipitation that could alternatively be read from files as well.

  • outputs nodes query optional output information, for example, the water level of a dam.

You can select the relevant nodes either by passing them explicitly or passing their name both as single objects or as objects contained within an iterable object:

>>> from hydpy import Element, Node
>>> Element("test",
...         inlets="inl1",
...         outlets=Node("outl1"),
...         receivers=("rec1", Node("rec2")))
Element("test",
        inlets="inl1",
        outlets="outl1",
        receivers=["rec1", "rec2"])

Repeating such a statement with different nodes adds them to the existing ones without any conflict in case of repeated specifications:

>>> Element("test",
...         inlets="inl1",
...         observers="obs1",
...         receivers=("rec2", "rec3"),
...         senders="sen1",
...         inputs="inp1",
...         outputs="outp1")
Element("test",
        inlets="inl1",
        outlets="outl1",
        observers="obs1",
        receivers=["rec1", "rec2", "rec3"],
        senders="sen1",
        inputs="inp1",
        outputs="outp1")

Subsequent adding of nodes also works via property access:

>>> test = Element("test")
>>> test.inlets = "inl2"
>>> test.outlets = None
>>> test.observers = "obs1"
>>> test.receivers = ()
>>> test.senders = "sen2", Node("sen3")
>>> test.inputs = []
>>> test.outputs = Node("outp2")
>>> test
Element("test",
        inlets=["inl1", "inl2"],
        outlets="outl1",
        observers="obs1",
        receivers=["rec1", "rec2", "rec3"],
        senders=["sen1", "sen2", "sen3"],
        inputs="inp1",
        outputs=["outp1", "outp2"])

The properties try to verify that all connections make sense. For example, an element should never handle an inlet node that is also handles as an outlet, input, or output node:

>>> def try_impossible_combinations(group, *sequences):
...     for sequence in sequences:
...         try:
...             setattr(test, group, sequence)
...         except ValueError as error:
...             print(error)
...         else:
...             assert False
>>> try_impossible_combinations("inlets", "outl1", "sen1", "outp1")
For element `test`, the given inlet node `outl1` is already defined as an outlet node, which is not allowed.
For element `test`, the given inlet node `sen1` is already defined as a sender node, which is not allowed.
For element `test`, the given inlet node `outp1` is already defined as an output node, which is not allowed.

Similar holds for the outlet nodes:

>>> try_impossible_combinations("outlets", "inl1", "obs1", "inp1", "outp1")
For element `test`, the given outlet node `inl1` is already defined as an inlet node, which is not allowed.
For element `test`, the given outlet node `obs1` is already defined as an observer node, which is not allowed.
For element `test`, the given outlet node `inp1` is already defined as an input node, which is not allowed.
For element `test`, the given outlet node `outp1` is already defined as an output node, which is not allowed.

The following restrictions hold for the sender nodes:

>>> try_impossible_combinations("senders", "inl1", "obs1", "inp1", "outp1")
For element `test`, the given sender node `inl1` is already defined as an inlet node, which is not allowed.
For element `test`, the given sender node `obs1` is already defined as an observer node, which is not allowed.
For element `test`, the given sender node `inp1` is already defined as an input node, which is not allowed.
For element `test`, the given sender node `outp1` is already defined as an output node, which is not allowed.

The following restrictions hold for the observer nodes:

>>> try_impossible_combinations("observers", "outl1", "sen1", "outp1")
For element `test`, the given observer node `outl1` is already defined as an outlet node, which is not allowed.
For element `test`, the given observer node `sen1` is already defined as a sender node, which is not allowed.
For element `test`, the given observer node `outp1` is already defined as an output node, which is not allowed.

The following restrictions hold for the input nodes:

>>> try_impossible_combinations("inputs", "outl1", "sen1", "outp1")
For element `test`, the given input node `outl1` is already defined as an outlet node, which is not allowed.
For element `test`, the given input node `sen1` is already defined as a sender node, which is not allowed.
For element `test`, the given input node `outp1` is already defined as an output node, which is not allowed.

The following restrictions hold for the output nodes:

>>> try_impossible_combinations("outputs", "inl1", "obs1", "inp1", "outl1", "sen1")
For element `test`, the given output node `inl1` is already defined as an inlet node, which is not allowed.
For element `test`, the given output node `obs1` is already defined as an observer node, which is not allowed.
For element `test`, the given output node `inp1` is already defined as an input node, which is not allowed.
For element `test`, the given output node `outl1` is already defined as an outlet node, which is not allowed.
For element `test`, the given output node `sen1` is already defined as a sender node, which is not allowed.

Note that the discussed Nodes objects are immutable by default, disallowing to change them in other ways as described above:

>>> test.inlets += "inl3"
Traceback (most recent call last):
...
RuntimeError: While trying to add the device `inl3` to a Nodes object, the following error occurred: Adding devices to immutable Nodes objects is not allowed.

Use the parameter force to change this behaviour:

>>> test.inlets.add_device("inl3", force=True)

However, it is up to you to make sure that the added node also handles the relevant element in the suitable group. In the discussed example, only node inl2 has been added properly but not node inl3:

>>> test.inlets.inl2.exits
Elements("test")
>>> test.inlets.inl3.exits
Elements()

Some elements might belong to a collective, which is a group of elements requiring simultaneous handling during simulation (see method unite_collectives()). If needed, specify the collective’s name by the corresponding argument:

>>> Element("part_1", collective="NileRiver", inlets="inl1")
Element("part_1",
        collective="NileRiver",
        inlets="inl1")

The information persists when querying the same element from the internal registry, whether one specifies the collective’s name again or not:

>>> Element("part_1", collective="NileRiver")
Element("part_1",
        collective="NileRiver",
        inlets="inl1")
>>> Element("part_1")
Element("part_1",
        collective="NileRiver",
        inlets="inl1")

However, changing the collective via the constructor is forbidden as it might result in hard-to-find configuration errors:

>>> Element("part_1", collective="AmazonRiver")
Traceback (most recent call last):
...
RuntimeError: The collective name `AmazonRiver` is given, but element `part_1` is already a collective `NileRiver` member.
collective: str | None = None

The collective the actual Element instance belongs to.

inlets

Group of Node objects from which the handled Model object queries its “upstream” input values (e.g. inflow).

outlets

Group of Node objects to which the handled Model object passes its “downstream” output values (e.g. outflow).

observers

Group of non-downstream Node objects from which the handled Model object queries its “remote” information values (e.g. inflow of a side-tributary into a downstream river).

receivers

Group of arbitrarily placed Node objects from which the handled Model object queries its “remote” information values (e.g. discharge at a downstream gauge).

senders

Group of Node objects to which the handled Model object passes its “remote” information values (e.g. water level of a dam model).

inputs

Group of Node objects from which the handled Model object queries its “external” input values instead of reading them from files (e.g. interpolated precipitation).

outputs

Group of Node objects to which the handled Model object passes its “internal” output values, available via sequences of type FluxSequence or StateSequence (e.g. potential evaporation).

classmethod get_handlerclass() type[Elements][source]

Return class Elements.

property model: modeltools.Model

The Model object handled by the actual Element object.

Directly after their initialisation, elements do not know which model they require:

>>> from hydpy import attrready, Element
>>> hland = Element("hland", outlets="outlet")
>>> hland.model
Traceback (most recent call last):
...
hydpy.core.exceptiontools.AttributeNotReady: The model object of element `hland` has been requested but not been prepared so far.

During scripting and when working interactively in the Python shell, it is often convenient to assign a Model directly.

>>> from hydpy.models.hland_96 import *
>>> parameterstep("1d")
>>> hland.model = model
>>> hland.model.name
'hland_96'
>>> del hland.model
>>> attrready(hland, "model")
False

For the “usual” approach to preparing models, please see the method prepare_model().

The following examples show that assigning Model objects to property model creates some connection required by the respective model type automatically. These examples should be relevant for developers only.

The following exch_branch_hbv96 model branches a single input value (from to node inp) to multiple outputs (nodes out1 and out2):

>>> from hydpy import Element, Node, reverse_model_wildcard_import, pub
>>> reverse_model_wildcard_import()
>>> pub.timegrids = "2000-01-01", "2000-01-02", "1d"
>>> element = Element("a_branch",
...                   inlets="branch_input",
...                   outlets=("branch_output_1", "branch_output_2"))
>>> inp = element.inlets.branch_input
>>> out1, out2 = element.outlets
>>> from hydpy.models.exch_branch_hbv96 import *
>>> parameterstep()
>>> delta(0.0)
>>> minimum(0.0)
>>> xpoints(0.0, 3.0)
>>> ypoints(branch_output_1=[0.0, 1.0], branch_output_2=[0.0, 2.0])
>>> parameters.update()
>>> element.model = model

To show that the inlet and outlet connections are built properly, we assign a new value to the inlet node inp and verify that the suitable fractions of this value are passed to the outlet nodes out1` and out2 by calling the method simulate():

>>> inp.sequences.sim = 999.0
>>> model.simulate(0)
>>> fluxes.originalinput
originalinput(999.0)
>>> out1.sequences.sim
sim(333.0)
>>> out2.sequences.sim
sim(666.0)
prepare_model(clear_registry: bool = True) None[source]

Load the control file of the actual Element object, initialise its Model object, build the required connections via (an eventually overridden version of) method connect() of class Model, and update its derived parameter values via calling (an eventually overridden version) of method update() of class Parameters.

See method prepare_models() of class HydPy and property Model of class Element fur further information.

init_model(clear_registry: bool = True) None[source]

Deprecated: use method prepare_model() instead.

>>> from hydpy import Element
>>> from unittest import mock
>>> with mock.patch.object(Element, "prepare_model") as mocked:
...     element = Element("test")
...     element.init_model(False)
Traceback (most recent call last):
...
hydpy.core.exceptiontools.HydPyDeprecationWarning: Method `init_model` of class `Element` is deprecated.  Use method `prepare_model` instead.
>>> mocked.call_args_list
[call(False)]
property variables: set[NodeVariableType]

A set of all different variable values of the Node objects directly connected to the actual Element object.

Suppose an element is connected to five nodes, which (partly) represent different variables:

>>> from hydpy import Element, Node
>>> element = Element("Test",
...                   inlets=(Node("N1", "X"), Node("N2", "Y1")),
...                   outlets=(Node("N3", "X"), Node("N4", "Y2")),
...                   receivers=(Node("N5", "X"), Node("N6", "Y3")),
...                   senders=(Node("N7", "X"), Node("N8", "Y4")))

Property variables puts all the different variables of these nodes together:

>>> sorted(element.variables)
['X', 'Y1', 'Y2', 'Y3', 'Y4']
prepare_allseries(allocate_ram: bool = True, jit: bool = False) None[source]

Call method prepare_allseries() of the currently handled Model instance and its submodels.

prepare_inputseries(allocate_ram: bool = True, read_jit: bool = False, write_jit: bool = False) None[source]

Call method prepare_inputseries() of the currently handled Model instance and its submodels.

prepare_factorseries(allocate_ram: bool = True, write_jit: bool = False) None[source]

Call method prepare_factorseries() of the currently handled Model instance and its submodels.

prepare_fluxseries(allocate_ram: bool = True, write_jit: bool = False) None[source]

Call method prepare_fluxseries() of the currently handled Model instance and its submodels.

prepare_stateseries(allocate_ram: bool = True, write_jit: bool = False) None[source]

Call method prepare_stateseries() of the currently handled Model instance and its submodels.

prepare_linkseries(allocate_ram: bool = True, write_jit: bool = False) None[source]

Call method prepare_linkseries() of the currently handled Model instance and its submodels.

load_allseries() None[source]

Call method load_allseries() of the currently handled Model instance and its submodels.

load_inputseries() None[source]

Call method load_inputseries() of the currently handled Model instance and its submodels.

load_factorseries() None[source]

Call method load_factorseries() of the currently handled Model instance and its submodels.

load_fluxseries() None[source]

Call method load_fluxseries() of the currently handled Model instance and its submodels.

load_stateseries() None[source]

Call method load_stateseries() of the currently handled Model instance and its submodels.

load_linkseries() None[source]

Call method load_linkseries() of the currently handled Model instance and its submodels.

save_allseries() None[source]

Call method save_allseries() of the currently handled Model instance and its submodels.

save_inputseries() None[source]

Call method save_inputseries() of the currently handled Model instance and its submodels.

save_factorseries() None[source]

Call method save_factorseries() of the currently handled Model instance and its submodels.

save_fluxseries() None[source]

Call method save_fluxseries() of the currently handled Model instance and its submodels.

save_stateseries() None[source]

Call method save_stateseries() of the currently handled Model instance and its submodels.

save_linkseries() None[source]

Call method save_linkseries() of the currently handled Model instance and its submodels.

plot_inputseries(*sequences: IOSequence | type[IOSequence] | str, average: bool = False, labels: tuple[str, ...] | None = None, colors: str | tuple[str, ...] | None = None, linestyles: Literal['-', '--', '-.', ':', 'solid', 'dashed', 'dashdot', 'dotted'] | tuple[Literal['-', '--', '-.', ':', 'solid', 'dashed', 'dashdot', 'dotted'], ...] | None = None, linewidths: int | tuple[int, ...] | None = None, focus: bool = True) Figure[source]

Plot (the selected) InputSequence series values.

We demonstrate the functionalities of method plot_inputseries() based on the Lahn example project:

>>> from hydpy.core.testtools import prepare_full_example_2
>>> hp, pub, _ = prepare_full_example_2(lastdate="1997-01-01")

Without any arguments, plot_inputseries() prints the time series of all input sequences handled by its (sub)models directly to the screen (in our example, P and T of hland_96 and NormalAirTemperature and NormalEvapotranspiration of evap_pet_hbv96):

>>> land = hp.elements.land_dill_assl
>>> figure = land.plot_inputseries()

You can use the pyplot API of matplotlib to modify the returned figure or to save it to disk (or print it to the screen, in case the interactive mode of matplotlib is disabled):

>>> from hydpy.core.testtools import save_autofig
>>> save_autofig("Element_plot_inputseries_complete.png", figure)
_images/Element_plot_inputseries_complete.png

Select specific sequences by passing their names, types, or example objects:

>>> from hydpy.models.hland.hland_inputs import T
>>> net = land.model.aetmodel.petmodel.sequences.inputs.normalevapotranspiration
>>> figure = land.plot_inputseries("p", T, net)
>>> save_autofig("Element_plot_inputseries_selection.png", figure)
_images/Element_plot_inputseries_selection.png

Misleading sequence specifiers result in the following error:

>>> figure = land.plot_inputseries("xy")
Traceback (most recent call last):
...
ValueError: No (sub)model handled by element `land_dill_assl` has an input sequence named `xy`.

Methods plot_factorseries(), plot_fluxseries(), and plot_stateseries() work in the same manner. Before applying them, one has to calculate the time series of the FactorSequence, FluxSequence, and StateSequence objects:

>>> hp.simulate()

The arguments “labels,” “colours,” “line styles,” and “line widths” can accept general or individual values:

>>> figure = land.plot_fluxseries(
...     "q0", "q1", labels=("direct runoff", "base flow"),
...     colors=("red", "green"), linestyles="--", linewidths=2)
>>> save_autofig("Element_plot_fluxseries.png", figure)
_images/Element_plot_fluxseries.png

For 1- and 2-dimensional IOSequence objects, all three methods plot the individual time series in the same colour. We demonstrate this for the frozen (SP) and the liquid (WC) water equivalent of the snow cover of different hydrological response units. Therefore, we restrict the shown period to February and March via the eval_ time grid:

>>> with pub.timegrids.eval_(firstdate="1996-02-01", lastdate="1996-04-01"):
...     figure = land.plot_stateseries("sp", "wc")
>>> save_autofig("Element_plot_stateseries.png", figure)
_images/Element_plot_stateseries.png

Alternatively, you can print the averaged time series by assigning True to the argument average. We demonstrate this functionality for the factor sequence TC (this time, without focusing on the time-series y-extent):

>>> figure = land.plot_factorseries("tc", colors=("grey",))
>>> figure = land.plot_factorseries(
...     "tc", average=True, focus=False, colors="black", linewidths=3)
>>> save_autofig("Element_plot_factorseries.png", figure)
_images/Element_plot_factorseries.png
plot_factorseries(*sequences: IOSequence | type[IOSequence] | str, average: bool = False, labels: tuple[str, ...] | None = None, colors: str | tuple[str, ...] | None = None, linestyles: Literal['-', '--', '-.', ':', 'solid', 'dashed', 'dashdot', 'dotted'] | tuple[Literal['-', '--', '-.', ':', 'solid', 'dashed', 'dashdot', 'dotted'], ...] | None = None, linewidths: int | tuple[int, ...] | None = None, focus: bool = True) Figure[source]

Plot the factor series of the handled model.

See the documentation on method plot_inputseries() for additional information.

plot_fluxseries(*sequences: IOSequence | type[IOSequence] | str, average: bool = False, labels: tuple[str, ...] | None = None, colors: str | tuple[str, ...] | None = None, linestyles: Literal['-', '--', '-.', ':', 'solid', 'dashed', 'dashdot', 'dotted'] | tuple[Literal['-', '--', '-.', ':', 'solid', 'dashed', 'dashdot', 'dotted'], ...] | None = None, linewidths: int | tuple[int, ...] | None = None, focus: bool = True) Figure[source]

Plot the flux series of the handled model.

See the documentation on method plot_inputseries() for additional information.

plot_stateseries(*sequences: IOSequence | type[IOSequence] | str, average: bool = False, labels: tuple[str, ...] | None = None, colors: str | tuple[str, ...] | None = None, linestyles: Literal['-', '--', '-.', ':', 'solid', 'dashed', 'dashdot', 'dotted'] | tuple[Literal['-', '--', '-.', ':', 'solid', 'dashed', 'dashdot', 'dotted'], ...] | None = None, linewidths: int | tuple[int, ...] | None = None, focus: bool = True) Figure[source]

Plot the state series of the handled model.

See the documentation on method plot_inputseries() for additional information.

assignrepr(prefix: str) str[source]

Return a repr() string with a prefixed assignment.

hydpy.core.devicetools.clear_registries_temporarily() Generator[None, None, None][source]

Context manager for clearing the current Node, Element, and FusedVariable registries.

Function clear_registries_temporarily() is only available for testing purposes.

These are the relevant registries for the currently initialised Node, Element, and FusedVariable objects:

>>> from hydpy.core import devicetools
>>> registries = (devicetools._id2devices,
...               devicetools._registry[devicetools.Node],
...               devicetools._registry[devicetools.Element],
...               devicetools._selection[devicetools.Node],
...               devicetools._selection[devicetools.Element],
...               devicetools._registry_fusedvariable)

We first clear them and, just for testing, insert some numbers:

>>> for idx, registry in enumerate(registries):
...     registry.clear()
...     registry[idx] = idx+1

Within the with block, all registries are empty:

>>> with devicetools.clear_registries_temporarily():
...     for registry in registries:
...         print(registry)
{}
{}
{}
{}
{}
{}

Before leaving the with block, the clear_registries_temporarily() method restores the contents of each dictionary:

>>> for registry in registries:
...     print(registry)
...     registry.clear()
{0: 1}
{1: 2}
{2: 3}
{3: 4}
{4: 5}
{5: 6}